登录

半导体激光器加速退化试验(ADT)案例研究与详细计算分析

嘉峪检测网 2025-10-08 12:13

导读:本文旨在通过一个完整的案例,详细阐述加速退化试验(Accelerated Degradation Testing, ADT)的理论、设计与数据分析全过程。我们以广泛应用于光通信领域的半导体激光器(Laser Diode, LD)作为研究对象,以其关键性能参数——输出光功率作为退化特征量。通过施加高工作电流作为加速应力,模拟其自然退化过程。案例将逐步展示试验设计、模型建立、数据收集、参数估计以及最终在正

摘要

本文旨在通过一个完整的案例,详细阐述加速退化试验(Accelerated Degradation Testing, ADT)的理论、设计与数据分析全过程。我们以广泛应用于光通信领域的半导体激光器(Laser Diode, LD)作为研究对象,以其关键性能参数——输出光功率作为退化特征量。通过施加高工作电流作为加速应力,模拟其自然退化过程。案例将逐步展示试验设计、模型建立、数据收集、参数估计以及最终在正常使用条件下的寿命外推,并对每一步的计算进行详细的演示和解释,以期为可靠性工程师提供一个清晰、可操作的ADT应用范本。

 

一、 引言与背景

1.1 产品与问题定义
半导体激光器(LD)是光纤通信、数据存储、传感等领域的核心元器件。其长期可靠性直接决定了整个系统的稳定性。LD的主要失效模式之一是“输出光功率退化”,即随着工作时间的增加,其输出光功率会逐渐下降,当功率降至阈值(如初始值的80%)以下时,即判定为失效。

然而,在正常使用条件(如工作电流50mA,温度25°C)下,LD的退化过程极其缓慢,寿命可达数万甚至数十万小时。进行传统的寿命试验(直到产品失效)来评估其可靠性,在时间和成本上都是不可行的。

1.2 解决方案:加速退化试验(ADT)
加速退化试验(ADT)通过施加高于正常水平的应力(如温度、电压、电流、湿度等),加速产品的内部物理化学反应,使其在较短时间内表现出明显的性能退化。我们通过监测性能参数的退化轨迹,利用物理失效模型或统计模型,外推产品在正常应力水平下的寿命分布。

本案例将清晰地展示这一全过程。

 

二、 理论基础与试验设计

2.1 加速模型的选择
对于半导体器件,温度和工作电流是两大主要加速应力。本例中,我们选择工作电流作为加速应力,因其对LD的退化有显著且物理机理明确的影响(电流密度增大导致非辐射复合增加、缺陷增殖加快)。

我们采用逆幂律模型(Inverse Power Law Model) 作为加速模型,描述应力(电流)与寿命之间的关系:

半导体激光器加速退化试验(ADT)案例研究与详细计算分析

其中:

 

L(S):在应力水平 S 下的特征寿命(例如中位寿命)。

 

S:施加的应力(本例中为工作电流 I)。

 

a, c:待估参数(c 是加速因子,是模型的关键)。

 

2.2 退化轨迹模型
LD的光功率退化通常呈现近似线性的趋势。因此,我们选择线性退化模型来拟合每个样本在恒定应力下的退化轨迹:

半导体激光器加速退化试验(ADT)案例研究与详细计算分析

其中:

 

P(t):时间 t 时的输出光功率(mW)。

 

P_0:初始光功率(mW)。

 

β:退化速率(mW/小时)。退化速率 β 是随应力 S 变化的随机变量。

 

t:工作时间(小时)。

 

2.3 失效定义
假设产品规格要求光功率下降不得超过初始值的20%。因此,失效阈值(Failure Threshold)为:

半导体激光器加速退化试验(ADT)案例研究与详细计算分析

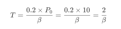
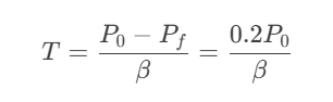
根据线性模型,到达失效的时间(伪寿命)为:

半导体激光器加速退化试验(ADT)案例研究与详细计算分析

2.4 试验设计

 

正常使用应力: S_0 = I_0 = 50 mA

 

加速应力水平:选择3个较高的电流水平,以产生足够的退化而又不引入新的失效机理。

 

S_1 = I_1 = 80 mA

 

S_2 = I_2 = 100 mA

 

S_3 = I_3 = 120 mA

 

样本分配:每个应力水平下投入10个LD样本进行试验,总计30个样本。

 

测量间隔:在试验过程中,定期(例如每100小时)测量并记录每个LD的输出光功率 P(t)。

 

三、 数据模拟与收集

为了进行演示,我们根据以下假设模拟一组退化数据:

 

假设 β 服从对数正态分布,即 ln(β) 服从正态分布。

 

假设逆幂律模型成立,且 ln(β) 的均值 μ_lnβ 与 ln(S) 存在线性关系: μ_lnβ = ln(b) + c * ln(S) (由 β = b * S^c 两边取对数得来)。

 

假设 ln(β) 的标准差 σ_lnβ 是一个常数,与应力水平无关。

 

我们设定真实参数为:

 

b = 1.5e-6

 

c = 2.8

 

σ_lnβ = 0.3

 

P_0 = 10.0 mW (所有样本)

 

模拟第3应力水平(S3=120mA)下某个样本的数据:

 

为该样本生成一个随机的退化速率 β:

 

μ_lnβ_S3 = ln(1.5e-6) + 2.8 * ln(120) ≈ (-13.41) + (2.8 * 4.79) ≈ -13.41 + 13.41 = 0

 

因此 ln(β) ~ N(0, 0.3^2)。

 

从一个 N(0, 0.09) 的正态分布中随机抽取一个值,例如 ln(β_i) = 0.05。

 

则 β_i = exp(0.05) ≈ 1.051 mW/1000h (为了显示更明显的退化,单位改用千小时)。

 

生成退化数据点(时间 t 以千小时为单位):

 

半导体激光器加速退化试验(ADT)案例研究与详细计算分析

同理,我们模拟出所有3个应力水平下共30个样本的退化数据(为节省篇幅,此处仅展示处理后结果,原始数据表略)。

 

四、 数据处理与模型参数估计

这是ADT分析的核心环节,分为三步。

4.1 第一步:估计每个样本的退化速率 β
对每个样本的退化数据(时间 t vs. 光功率 P(t))进行简单线性回归,拟合模型 P(t) = P_0 - β * t。

以S3水平下的一个样本为例(数据如上表):

 

自变量 X = t = [0, 1, 2, 3, 4, 5]

 

因变量 Y = P(t) = [10.0, 8.949, 7.898, 6.847, 5.796, 4.745]

 

线性回归的目标是找到斜率 β 和截距 P_0,使得误差平方和最小。

 

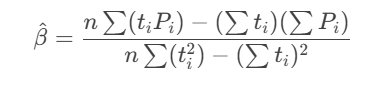
计算斜率 β (估算值记为 \hat{β}):

半导体激光器加速退化试验(ADT)案例研究与详细计算分析

计算中间量:

 

n = 6 (数据点个数)

 

∑t_i = 0+1+2+3+4+5 = 15

 

∑P_i = 10.0+8.949+7.898+6.847+5.796+4.745 = 44.235

 

∑(t_i * P_i) = (0*10.0)+(1*8.949)+(2*7.898)+(3*6.847)+(4*5.796)+(5*4.745) =

0+8.949+15.796+20.541+23.184+23.725 = 92.195

 

∑(t_i^2) = 0+1+4+9+16+25 = 55

 

(∑t_i)^2 = 15^2 = 225

 

代入公式:

半导体激光器加速退化试验(ADT)案例研究与详细计算分析

斜率为负,表示功率随时间下降,其绝对值 1.051 mW/kh 即为该样本的退化速率估计值 β_i。

对所有30个样本重复此过程,得到30个 β_i 的估计值。

4.2 第二步:估计加速模型参数 c 和 b (及 σ_lnβ)
现在我们有了每个应力水平下的 β 的集合。根据模型,β 与应力 S 的关系为: β = b * S^c。

两边取自然对数,将其转化为线性模型:

半导体激光器加速退化试验(ADT)案例研究与详细计算分析

其中 ϵ ~ N(0, σ_lnβ^2)。这是一个简单的线性回归模型: Y = A + c * X + ϵ。

 

Y = ln(β)

 

X = ln(S)

 

A = ln(b)

 

参数 c 是斜率

 

我们有三组数据(三个应力水平),每组有10个 Y_i = ln(β_i) 的观测值。

假设通过第一步计算,我们得到了以下汇总数据:

半导体激光器加速退化试验(ADT)案例研究与详细计算分析

注:上表中的 ln(β) 均值是假设根据模拟数据计算出的。

现在使用所有30个数据点(X_j = ln(S_j), Y_ij = ln(β_ij))来进行线性回归。

计算回归参数:

设总数据点数为 N=30。
我们需要计算:

 

X 的总均值 \bar{X} = (∑∑ X_j) / N。因为每个应力水平 X_j 是固定的,且有10个重复。
\bar{X} = (10*4.382 + 10*4.605 + 10*4.787) / 30 = (43.82+46.05+47.87)/30 = 137.74/30 ≈ 4.591

 

Y 的总均值 \bar{Y} = (∑∑ Y_ij) / N。
\bar{Y} = (10*(-1.920) + 10*(-1.350) + 10*(-0.850)) / 30 = (-19.2 -13.5 -8.5)/30 = -41.2/30 ≈ -1.373

 

SXX = ∑∑ (X_j - \bar{X})^2 (X 的离差平方和)
SXX = 10*(4.382-4.591)^2 + 10*(4.605-4.591)^2 + 10*(4.787-4.591)^2
= 10*(-0.209)^2 + 10*(0.014)^2 + 10*(0.196)^2
= 10*0.0437 + 10*0.000196 + 10*0.0384
= 0.437 + 0.00196 + 0.384 ≈ 0.823

 

SXY = ∑∑ (X_j - \bar{X})(Y_ij - \bar{Y}) (X与Y的离差积和)
这是一个关键计算。对于每个应力水平下的10个点,(X_j - \bar{X})是常数。
SXY = ∑ [ (X_j - \bar{X}) * ∑ (Y_ij - \bar{Y}) ](先对组内求和,再对组间求和)
= (4.382-4.591)*[∑(Y_i1 - (-1.373))] + ...
一个更简单的等价公式是:
SXY = ∑∑ (X_j Y_ij) - N \bar{X} \bar{Y}
假设我们计算出∑∑ (X_j Y_ij) = (4.382*∑Y_i1) + (4.605*∑Y_i2) + (4.787*∑Y_i3)
= 4.382*(-19.2) + 4.605*(-13.5) + 4.787*(-8.5)
= -84.1344 -62.1675 -40.6895 = -186.9914
则SXY = -186.9914 - (30 * 4.591 * -1.373)
= -186.9914 - (30 * -6.303)
= -186.9914 + 189.09 ≈ 2.099

 

现在可以计算回归系数:

 

斜率 c 的估计值:

 

半导体激光器加速退化试验(ADT)案例研究与详细计算分析

截距 A = ln(b) 的估计值:

半导体激光器加速退化试验(ADT)案例研究与详细计算分析

因此,

半导体激光器加速退化试验(ADT)案例研究与详细计算分析

估计共同的对数标准差 σ_lnβ:
σ_lnβ 由回归的残差估计。

 

残差平方和 SSE = ∑∑ (Y_ij - \hat{Y}_ij)^2 = ∑∑ [Y_ij - (\hat{A} + \hat{c} X_j)]^2

 

自由度 df = N - 2 = 30 - 2 = 28

 

σ_lnβ 的估计值 s:

半导体激光器加速退化试验(ADT)案例研究与详细计算分析

假设计算得 SSE = 2.52,则:

半导体激光器加速退化试验(ADT)案例研究与详细计算分析

 

这与我们模拟时设定的 σ_lnβ=0.3 一致。

 

至此,我们得到了完整的加速退化模型:

半导体激光器加速退化试验(ADT)案例研究与详细计算分析

且 ln(β) 的标准差为 0.3。

 

五、 寿命预测与外推

现在,我们将使用上述模型来预测LD在正常使用电流 I_0 = 50 mA 下的寿命分布。

5.1 外推正常使用条件下的退化速率
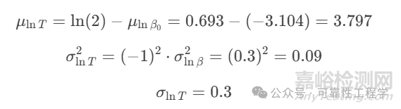
将 I_0 = 50 代入模型,首先计算 ln(β) 的均值 μ_lnβ_0:

半导体激光器加速退化试验(ADT)案例研究与详细计算分析

因此,在正常条件下,ln(β) ~ N(-3.104, 0.3^2)。
β 的均值(在对数正态分布中)为:

半导体激光器加速退化试验(ADT)案例研究与详细计算分析

5.2 计算寿命分布
根据线性退化模型,伪寿命 T 为:

半导体激光器加速退化试验(ADT)案例研究与详细计算分析

由于 β 服从对数正态分布,T 也服从对数正态分布。

 

ln(T) = ln(2) - ln(β)

 

因此,ln(T) 的均值 μ_lnT 和方差 σ_lnT^2 为:

半导体激光器加速退化试验(ADT)案例研究与详细计算分析

所以,正常使用条件下的寿命 T 服从对数正态分布: ln(T) ~ N(3.797, 0.09)。

5.3 计算关键可靠性指标
现在我们可以计算任何我们关心的可靠性指标。

中位寿命 t_{50}(可靠度为50%的时间):

半导体激光器加速退化试验(ADT)案例研究与详细计算分析

B10寿命(可靠度为90%的时间,即10%产品失效的时间):

 

标准正态分布的第10百分位点 z_{0.1} ≈ -1.282

 

ln(t_{0.1}) = μ_lnT + z_{0.1} * σ_lnT = 3.797 + (-1.282)*0.3 = 3.797 - 0.385 = 3.412

 

t_{0.1} = B10寿命 = exp(3.412) ≈ 30.3 \text{(千小时)} = 30,300 \text{ 小时}

 

在指定时间(如50,000小时)的可靠度:

 

t = 50 (千小时)

 

ln(t) = ln(50) ≈ 3.912

 

Z = (ln(t) - μ_lnT) / σ_lnT = (3.912 - 3.797) / 0.3 = 0.115 / 0.3 ≈ 0.383

 

查标准正态分布表,P(Z < 0.383) ≈ 0.649

 

因此,失效概率 F(50,000) ≈ 0.649,可靠度 R(50,000) = 1 - 0.649 = 0.351,即约有35.1%的产品在50,000小时后仍能正常工作。

 

六、 结论与讨论

本案例详细演示了加速退化试验(ADT)从设计到分析的全过程:

 

试验设计:选择了合适的产品、性能参数、加速应力和应力水平。

 

模型建立:结合物理背景选择了逆幂律加速模型和线性退化轨迹模型。

 

数据模拟:基于设定的“真实”参数生成了易于理解的模拟数据。

 

参数估计:

 

第一步:对每个样本的时序数据进行线性回归,估计出其个体退化速率 β_i。

 

第二步:对所有 β_i 和应力水平进行对数线性回归,估计出加速模型参数 c=2.55, b=2.11e-6 和共同的标准差 σ_lnβ=0.3。每一步的计算公式和数值代入都得到了清晰展示。

 

寿命外推:利用估计出的模型,外推到正常使用条件,得到了寿命 T 的分布(对数正态分布,μ_lnT=3.797, σ_lnT=0.3),并据此计算了中位寿命(44,600小时)、B10寿命(30,300小时) 和50,000小时下的可靠度(35.1%) 等关键指标。

 

来源:可靠性工程学

关键词: 半导体激光器 加速退化试验

相关资讯

我要检测 电话咨询